中国大学是按照什么排名的?是按分数排名吗?
的有关信息介绍如下:你的问题我的理解是想咨询关于国内高校的按照招生分数的排名情况!其实不少的网友对国内高校排名都存在质疑,一直呼吁要按照招生分数的情况来排名。我个人觉得排名仅是一个参考,意义说实话真的不大。
对于高校排名,国内存在比较多的有校友会版、科教版等版本。多多少少都是存在质疑的,即便是按照分数排名也有不少的网友不认可,说白了众口难调罢了。对于一个学校的排名要考虑招生分数、要考虑就业、要考虑学校综合实力、要考虑名气等各方面因素。
言归正传,按照你的问题,简单收集了一下国内高校按照招生分数的排名情况。这份排名是按照近几年的招生分数的总和情况进行排名,以下是具体排名仅供参考:




您的关注、点赞就是对我最大的鼓励和支持!
这个大学的排名其实是公说公有理 婆说婆有理的事情。因为但凡排名,就得有一个标准,标准不同,排出的顺序就不同。
这就好比一个班有50个人,把他们排序吧。按身高排还是体重排,按英语成绩排还是按数学成绩排,不同需要就会有不同标准,不同标准下就会有不同排名。
这也就是每年一发布排名榜单,就会引起一片热议,甚至争论之声,大家心中的标准不同,自然认识就不一样。
那么大学的排名一般要参考哪些方面呢?
一般有学校的综合实力、新生生源、教师水平、教研能力、论文发表、国际影响、雇主评价、学校环境和仪器设备、社会贡献、人才培养等等方面,不一而足。
我们看到,其中有些方面很难量化,就像社会贡献度,怎么将之数据化,数据化的方法是否让人信服?而且不同排行榜还会根据自己的的认知在这些参考数据上加上权重,同样参考十个方面,权重不同,排出的名次大相径庭。
但是有些公认的好学校在每个榜单中都名列前茅,这是实力,就像清华北大。越往后学校之间越接近,每个学校有长处有短板,排名侧重面不同,顺序就立刻改变。
所以,不管哪个排行榜,大家看看就好,不必钻牛角尖非得争论个你对我错,说实话,也争论不出来。
下面我列出来四个排行榜单,两个国际的,两个国内的,供大家参考。
1、Usnews2019中国内地大学排行榜

2、QS2019中国内地大学排行榜


3、2019软科中国大学排行榜



4、2019校友会中国大学排行榜

其实,我们在关注高校国内排名的同时,也关注咱们国家高校在世界上的排名。大家都希望各个高校在比较中形成良性竞争,提高自己的科研能力、学术水平,早日实现国家提出的世界双一流高校建设目标。
国内的大学目前没有官方的排名,目前能见到的排名都是第三方机构排出来的。即便是第三方机构的排名,参考的标准也不完全一样,所以这个问题没有标准答案。至于题目中提到的分数,只是各排行榜参照的众多指标之一。但是在报考的时候,录取分数似乎对家长和学生来说最具现实意义。

对于大学排名,目前较有影响力的是所谓的四大排行榜,软科,泰晤士,QS,USNEWS,国内的有武书连,校友会和网大版排行榜,国内的几个排行榜争议很大,权威性相对较低;今年年初软科公布国内最好大学排行榜之后,东华理工大学直接指出,软科所采取的数据有误,更引起了社会对大学排行榜的质疑。

目前由官方公布的,比如说之前的985,211高校名单,现在的双一流大学名单,教育部第四轮学科评估结果等,是非常重要的参考指标,不管是报考还是企业招聘,相对都比较有参考价值。不过,据媒体报道,双一流大学及学科的评选,首先综合考虑ESI学科排名中的中国高校在全球的表现、2012年教育部学科评估参评学科数量和国家发展规划决定一流学科入选数量;然后以12年学科评估排名为主,确定哪些高校的学科能入选;辅以在QS学科排名(或ESI)中表现优异的个别高校学科也能入选(或按照QS置学科名);最后,五年内获得国家自然科学奖二等奖及以上、技术发明一等奖或科技进步奖一等奖及以上所依托的高校学科拥有一票上位的特权。

大学排名的初衷就是作为第三方数据,供政府和学校以及考生参考,但由于部分排行榜参杂了商业因素,让部分排行榜变了味。同时也有人指出,部分高校为了提高排名,提高声誉和影响力,不惜按照大学排行榜的标准了建设大学,因而有了相当大的局限性。
对于这种高校排名问题我国一直都没有给过什么官方版本,网络上那些各种各样的版本都只是民间行为而已。那么它们排名的依据到底有那些呢?下面我们一起来分享一下这个问题。
1、首先我感觉国内高校排名接近一半的版本都是按照高考录取分数为依据的。这种方法简单直接,但一般不为大众所接受。
2、有的时候你会发现像北京、上海、广东等一些大城市的高校在全国高中综合实力排名中名次都不会很低。
3、那些具有代表性的排名一般会有以下几个参考标准,学校的办学实力、办学规模,科研实力、教学实力,生源质量、人才培养,学校知名度等等。
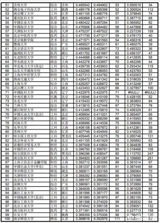
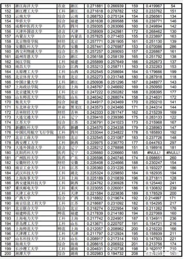
下面我给大家分享一下2018年校友会全国高校综合实力排行榜,仅供大家参考,谢谢!









菜鸟来谈谈吧,欢迎大家关注菜鸟!*^O^*
菜鸟自己大概了解了一下排名的标准,因为没有官方正式的排名,所以有些机构在排名的时候,依照的标准不一样。但基本上都是按照高考分数、生源质量、教师水平、学校资源、资金投入、学术水准、国际影响力等等的标准来排名。这里面的要求还是比较多的。
一、软科的评判标准

其中,占的比例最多的还是生源质量,其次是科研规模,还有论文质量、顶尖成果,还有引进的人才数量和质量,还有学生的就业质量和数量,这些都是重要的评价标准。
二、校友会的评判标准

这种类似于盈利性的排名机构,可以看看其官方给出的评价标准,但正真是否是按这个标准来评价,那就不好说了。不过,既然已经给出相关的评价标准的图表了,那也可以看看人家的评判标准,使大家做到心中有数。
三、国外机构的评判标准

这是国外的一些评判机构给出的标准。他们对一些大家的综合实力的估量,基本上都是按照这个标准来的。至于是否真正的能做到这么严格,或者是这么详细,那就不得而知了,不过看看也是可以的。
最后,菜鸟再找了点中国大学排名靠前的一些高校,大家可以看看。








以上只是用于参考,至于排名,评价标准不一样。得出的结论也不一样,不过参考一下也是可以的。
中国大学排名,是针对中国所属各类高等教育院校的排名。那么这些高等院校的排名是按照什么来排的?目前中国的大学排行榜主要来源于网络,最常见的应该是校友会的版本。下面来看看校友会的2019年各大学排名吧!

对于校友会的排名,其标准是以人才培养、科学研究、社会影响三方面去核定各大学的位次!

当然,官方并没有给中国各大高校排名,因此,各大学排名并没有绝对的公平与权威,仅做参考!而且,这个排名,根据实际情况,每年都会有所变动。
对于这个版本的排名,各位网友怎么看呢?欢迎各位留言吐槽!

关于中国大学排名,并没有来自官方的榜单,除了那些国外的世界大学排名中的中国大学排名之外,互联网上比较流行的就是国内民间的三大榜单:校友会,上海软科,武书连
01
其实中国大学排名的维度其实是可以参考很多的,但是由于有一些维度,可能对于一些大学并不公平,比如参考博士点数量,硕士点数量,重点学科数量,这样一定有利于综合性,合并后那些庞大的大学,因为大就意味着多。但是你说一个综合性合并后的大学在百姓的口碑中一定就好于那些高精尖的特色院校吗?例如:北京协议医学院。北京协和医学院是医学生们心中的最高殿堂,但是学校小,不综合,按照博士点,硕士点,重点学科这些维度排名就会排名很靠后,这样不就误导了很多不了解北京协和的家长吗?
02
那么就按照录取分数行不行呢,这样好衡量,就像市场经济商品定价一样,大家都是用脚投的票,而且几十年了,一定是分数反应大学的好坏,就如同价格反应商品的好坏一样。其实这样排名是某种程度反应各大学综合实力的,比如一些小而美,特色的大学,一样是可以很高分的,同时这样的排名也有利于高考时家长和学生们填报志愿时参考。但是这样下去就会让中国的大学逐渐固化,好的越好,差的越差,因为这个榜单是基于各省高考录取分数排出来的,然后每一年考生又是基于这个榜单去根据自己的高考省排名选大学,这又强化了这个榜单上各个大学的分数层次和地位。而且话说回来了,很多分数高的大学实力就强吗?很多时候分数高是由于这个大学的城市好,专业好,那么那些专注于国家需要的冷门专业特色的学校就分数低,就要在这个榜单上一直排在后面吗?这样有利于国家未来不同行业人才的均衡选拔和培养吗?
03
那就按照各个大学的学科水平,各种期刊论文数量,质量加权排名综合给出中国大学排名行吗?
学科水平很多反映的是这个大学博士生和大学老师们的科研水平,很多学生上个大学就为了本科就业了,与这个大学搞出多少创新课题,项目,论文一点关系没有,很多搞科研的老师讲课并不在行,而且天坑专业非常容易出论文:比如:材料,那这样排出的大学排行榜是不是一样会误导很多学生和家长吧
最后,做出中国大学的排行榜,真的要考虑很多要素,而且在不同要素间需要用动态的权重不停地优化最终的结果。下面我给出2021年软科中国大学排行榜参考的因素,大家看一看是否合理?
办学层次
学科水平
办学资源
师资规模与结构
人才培养
科学研究
服务社会
学术人才
重大项目与成果
国际竞争力

生源质量决定学校的办学质量,录取分数线当然最能说明问题了。其他各种各样的排名,大都属于商业行为,给钱和不给钱,多给钱和少给钱,结果肯定不一样。
中国大学排名有以下几种方案:
方案一:按照艾瑞深校友会评估版本排名。
方案二:按照软科版本评估排名。
方案三:按照武书连版本评估排名。
方案三:按照QS世界大学版本国内大学排名。
方案四:按照泰晤士版本评估排名。
方案五:按照上海软科学术世界大学版本国内高校排名。
方案六:按照ESI综合评估实力排名。
方案七:按照科研实力排名。
方案八:按照教学质量版本排名。
方案九:按照录取分数线高低排名。
国内经常使用最多的是校友会版本排名,那么大家对于这些版本排名有何看法呢?在您心目中哪一个版本的大学排名更为贴近实际呢?欢迎大家评论下方留言相互交流。
其实有什么需要就应该去看哪方面的榜!
市面上流传量比较大的榜单都是相对公平的,只是作为读者,我们更应该结合我们的需要去看榜单的各个比例权重。
另外,这些榜单大多是综合性质的。也就是说,大多只能作为比较浅显地参考用用。就像绪论一样,如同茶余饭后的谈资。
如果有需要,你一定能找到你所需方面更专业的途径!



