张朝阳出物理题考网友仅一人答出!张朝阳的物理水平怎么样?
的有关信息介绍如下:张朝阳上学是理科学霸,智力水平是非常高的。这次转型物理教师也是很值得大众期待的事情。他的水平一般的教学对他来说不在话下。
他的物理水平还是很高的,就是他出的这道题,我觉得让网友们有点难受,特别是那些没有做出来的。
张朝阳解答物理题只需要一秒钟,看完题就会解答,特别的聪明,有逻辑能力。
张朝阳出物理题考网友仅有一个人打出,可以发现题目的难度是比较高的,这种物理水平很少有学生能够答出来。

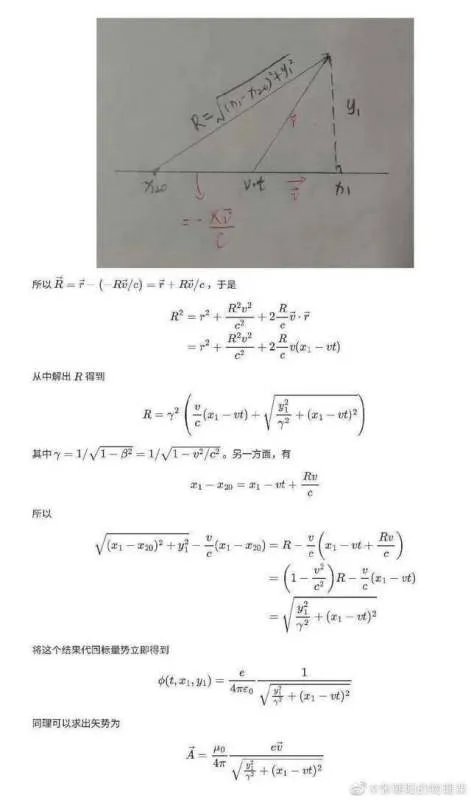
最近大家可以看到这样的消息,张朝阳出物理题来考一考,网友只有一个,女生答出了正确的答案。最终送给了这位女生,一部iPhone14手机,近日张朝阳在自己的直播间讲物理课的时候就针对一道物理题出了类似的一道题,关于匀速运动电荷的市场,这种题目去考一些网友,并且承诺网友如果能够答对这道题,就会送出iPhone14手机,这也算得上是奖品。

当时就有一位女学生打了出来,这是一位来自南京师范大学物理专业的一名女生,这个同学表示最近一直在准备考研的工作,抽空的时候也会看一看物理课,感觉看物理课特别的有意思,也会尝试着去解答,能够让自己的思维变得更加敏捷。当只有一名女生回答正确了,当时就已经登上了热搜,在接受采访的时候发现这名同学是非常喜欢物理的,感觉物理非常的有趣,当初接触这些题目的时候,感觉特别的简单,认为只要写出题目中的电磁场就可以了。

在解题的过程中发现并不是这样的,是真的特别难通过,一部在进行到,另一部自己也是比较执拗的,最后通过教科书作为参考并且画图,转变了自己的思维,才将正确的题目给解答了出来。可以发现张朝阳老师的物理课是非常经典的,出的题目也非常的刁钻,能够有人将题目的正确答案解答出来,也是非常不容易的一件事情,在张老师开直播的时候认为这位女生讲的特别好,并奖励了对方一部手机,这也是物质奖励,对于这位女生来说更是一种激励。



