资料分析知识-顺差与逆差
的有关信息介绍如下:本篇文章中公事业单位(www.zgsydw.com)提供资料分析知识-顺差与逆差。
一、顺差与逆差相关概念
1、进出口总额:指实际进出我国国境的货物总金额,包括进口额和出口额两部分。
2、出口额:一定时期内从国内出口的商品的全部价值也称为出口贸易总额或出口总额。
3、进口额:一定时期内从国外进口的商品的全部价值,也称为进口贸易总额或进口总额。
当进口额小于出口额时,进出口贸易表现为顺差也称为净出口额。当进口额大于出口额时,进出口贸易表现为逆差。
顺差与逆差相关概念及重要结论如下所示:

【示例】2015年货物出口额为141255亿元,进口额为104485亿元。则2015年货物进出口总额为多少亿元?净出口额为多少亿元?
解读:根据核心公式①,2015年货物进出口总额为141255+10485=245740亿元。
根据核心公式②,净出口额为141255-104485=36770亿元。
二、顺差与逆差相关练习题
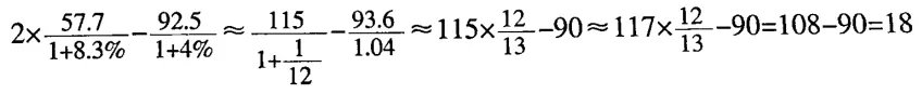
2015年我国钟表行业海关进出口总额为92.5亿美元,同比增长4%,完成出口总额为57.7亿美元,同比增长8.3%,进口额为34.8亿美元。
2014年我国钟表行业贸易顺差约为多少亿美元?
A.18
B.23
C.25
D.27
解析:题干时间是2014年,材料的是2015年,判断该题考查点与同比增长有关。材料只给出了进出口总额及出口额相关数据求贸易顺差,运用重要结论,贸易顺差额=2x出口额-进出口总额。2014年我国钟表行业贸易顺差为

亿美元,A项符合。
原文链接:资料分析知识-顺差与逆差



