开方怎么算
的有关信息介绍如下:举个例子,1156是四位数,所以它的算术平方根的整数部分是两位数,且易观察出其中的十位数是3。于是问题的关键在于:如何求出它的个位数a?为此,我们从a所满足的关系式来入手。
根据两数和的平方公式,可以得到
1156=(30+a)^2=30^2+2×30a+a^2,
所以 1156-30^2=2×30a+a^2,
即 256=(30×2+a)a,
也就是说, a是这样一个正整数,它与30×2的和,再乘以它本身,等于256。
为便于求得a,可用下面的竖式来进行计算:
根号上面的数3是平方根的十位数。将 256试除以30×2,得4(如果未除尽则取整数位).由于4与30×2的和64,与4的积等于256,4就是所求的个位数a。竖式中的余数是0,表示开方正好开尽。于是得到 1156=34^2, 或√1156=34. 上述求平方根的方法,称为笔算开平方法,用这个方法可以求出任何正数的算术平方根,它的计算步骤如下:
开方的计算步骤
1.将被开方数的整数部分从个位起向左每隔两位划为一段,用“ ' ”这个符号分开(竖式中的11’56),分成几段,表示所求平方根是几位数;
2.根据左边第一段里的数,求得平方根的最高位上的数(竖式中的3);
3.从第一段的数减去最高位上数的平方,在它们的差的右边写上第二段数组成第一个余数(竖式中的256);
4.把求得的最高位数乘以20去试除第一个余数,所得的最大整数作为试商(20×3除256,所得的最大整数是 4,所以试商是4);
5.用商的最高位数的20倍加上这个试商再乘以试商,如果所得的积小于或等于余数,试商就是平方根的第二位数;如果所得的积大于余数,就把试商减小之后再试(竖式中(20×3+4)×4=256,说明试商4就是平方根的第二位数);
6.用相同的方法,继续求平方根的其余各位上的数。
如碰到开不尽的情况,可根据所要求的精确度求出它的近似值。例如求其近似值(精确到0.01),可列出上面右边的竖式,并根据这个竖式得到。
笔算开平方运算较复杂,在实际中直接应用较少,但用这个方法可求出一个数的平方根的具有任意精确度的近似值。

参考资料:
开方方法:
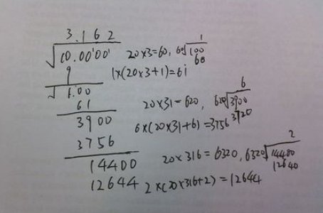
1、比如说我们计算根号10,有计算机的伙伴们可以按一下,结果3.1622776601683.......将要开方的数在小数点前后,每两位进行分节。然后前后都可以补0哦。

2、然后从最左边的节开始计算,由于是每两位进行的分节,所以最左边的数一定小等于99,所以就在10以内找到一个开方最大并且小于第一节的数,作为开方的第一个数。所以10开方得到的第一个值就是3

3、就像做除法一样,10减去3的平方也就是9,余数是1,然后将第二节的数移下来,我们这里是补的00,所以就变成100啦。

4、然后计算第2个数,首先先用20去乘以3,也就是第一个得到x,可以得到一个数,可以标记为y,在我们这里y为60,然后用上一步的余数去除以这个y,也就是60。简而言之就是100除以60,得到的整数位就是第二个数的值啦,所以是1。

5、然后用步骤5里面的60加上1,乘以1,1*(60+1)等于61,然后就用之前得到余数100减去6,然后再把后面的第二节的数移下来,这里同样是00.然后相减,我们可以得到3900这个余数,然后就依次重复上面步骤5,6,就可以得到无限近似的结果啦。

扩展资料:
方根

数a的n(n为自然数)次方根指的是n方幂等于a的数,也就是适合b的n次方=a的数b。例如16的4次方根有2和-2。一个数的2次方根称为平方根;3次方根称为立方根。各次方根统称为方根。求一个指定的数的方根的运算称为开方。
一个数有多少个方根,这个问题既与数的所在范围有关,也与方根的次数有关。在实数范围内,任一实数的奇数次方根有且仅有一个,例如8的3次方根为2,-8的 3次方根为-2 ;正实数的偶数次方根是两个互为相反数的数。
例如16的4次方根为2和-2;负实数不存在偶数次方根;零的任何次方根都是零。在复数范围内,无论n是奇数或偶数,任一个非零的复数的n次方根都有n个。如果复数

,

,那么它的n个n次方根是,k=0,1,2…,n-1。
参考资料:
过最好的是记住根号2,根号3,根号5等一些数值的值
因为很多数值都可以分解成这些数的乘积形式
[解题过程]
述求平方根的方法,称为笔算开平方法,用这个方法可以求出任何正数的算术平方根,它的计算步骤如下:
1.将被开方数的整数部分从个位起向左每隔两位划为一段,用撇号分开(竖式中的11'56),分成几段,表示所求平方根是几位数;
2.根据左边第一段里的数,求得平方根的最高位上的数(竖式中的3);
3.从第一段的数减去最高位上数的平方,在它们的差的右边写上第二段数组成第一个余数(竖式中的256);
4.把求得的最高位数乘以20去试除第一个余数,所得的最大整数作为试商(3×20除
256,所得的最大整数是
4,即试商是4);
5.用商的最高位数的20倍加上这个试商再乘以试商.如果所得的积小于或等于余数,试商就是平方根的第二位数;如果所得的积大于余数,就把试商减小再试(竖式中(20×3+4)×4=256,说明试商4就是平方根的第二位数);
6.用同样的方法,继续求平方根的其他各位上的数.
徒手开n次方根的方法:
原理:设被开方数为x,开n次方,设前一步的根的结果为a,现在要试根的下一位,设为b,
则有:(10*a+b)^n-(10*a)^n<=c(前一步的差与本段合成);且b取最大值
用纯文字描述比较困难,下面用实例说明:
我们求
2301781.9823406
的5次方根:
第1步:将被开方的数以小数点为中心,向两边每隔n位分段(下面用'表示);不足部分在两端用0补齐;
23'01781.98234'06000'00000'00000'..........
从高位段向低位段逐段做如下工作:
初值a=0,差c=23(最高段)
第2步:找b,条件:(10*a+b)^n-(10*a)^n<=c,即b^5<=23,且为最大值;显然b=1
差c=23-b^5=22,与下一段合成,
c=c*10^n+下一段=22*10^5+01781=2201781
第3步:a=1(计算机语言赋值语句写作a=10*a+b),找下一个b,
条件:(10*a+b)^n-(10*a)^n<=c,即:(10+b)^5-10^5<=2201781,
b取最大值8,差c=412213,与下一段合成,
c=c*10^5+下一段=412213*10^5+98234=41221398234
第4步:a=18,找下一个b,
条件:(10*a+b)^n-(10*a)^n<=c,即:(180+b)^5-180^5<=41221398234,
b取最大值7
说明:这里可使用近似公式估算b的值:
当10*a>>b时,(10*a+b)^n-(10*a)^n≈n*(10*a)^(n-1)*b,即:
b≈41221398234/n/(10*a)^(n-1)=41221398234/5/180^4≈7.85,取b=7
以下各步都更加可以使用此近似公式估算b之值
差c=1508808527;与下一段合成,
c=c*10^5+下一段=1508808527*10^5+06000=150880852706000
第5步:a=187,找下一个b,
条件:(10*a+b)^n-(10*a)^n<=c,即:
(1870+b)^5-1870^5<=150880852706000,
b取最大值2,差c=28335908584368;与下一段合成,
c=c*10^5+下一段=2833590858436800000
第6步:a=1872,找下一个b,
条件:(10*a+b)^n-(10*a)^n<=c,即:
(18720+b)^5-18720^5<=2833590858436800000,
b取最大值4,差c=376399557145381376;与下一段合成,
c=c*10^5+下一段=37639955714538137600000
例:求256的平方根
第一步:将被开方数的整数个位起向左每隔两位划为一段,用逗号分开,分成几段,表示所求平方根是几位数。
例,第一步:将256,分成两段:
2,56
表示平方根是两位数(XY,X表是平方根十位上数,Y表示个位数)。
第二步:根据左边第一段里的数,取该数的平方根的整数部分,作为所要求的平方根求最高位上的数。
例:左边第一段数值是2,2的平方根是大约等于1.414(这些尽量要记得,100以内的,尤其是能开整数的),由于2的平方根1.414大于1和小于2,所以取整数部分是1作为所要求的平方根求最高位上的数,即所要求的平方根最高位X是1。
第三步:从第一段的数减去最高位上数的平方,在它们的差的右边写上第二段数组成第一个余数。
例:第一段数里的数是2.第二步计算出最高数是1
2减去1的平方=1
将1与第二段数(56)组成一个第一个余数:156
第四步:把第二步求得的最高位数(1)乘以20去试除第一个余数(156),取所得结果的整数部分作为第一个试商。
例: 156除以(1乘20)=7.8
第一个试商就是7
第五步:第二步求得的的最高位数(1)乘以20再加上第一个试商(7)再乘以第一个试商(7)。
(1*20+7)*7
如果:(1*20+7)*7小于等于156,则7就是平方根的第二位数.
如果:(1*20+7)*7大于156,将第一个试商7减1,即用6再计算。
由于:(1*20+6)*6=156所以,6就是第平方根的第二位数。
例:求55225的平方根
第一步:将被开方数的整数个位起向左每隔两位划为一段,用逗号分开,分成几段,表示所求平方根是几位数。
例,第一步:将55225,分成三段:
5,52,25
表示平方根是三位数(XYZ)。
第二步:根据左边第一段里的数,取该数的平方根的整数部分,作为所要求的平方根求最高位上的数。
例:左边第一段数值是5,5的平方根是(2点几)大于2和小于3,所以取整数部分是2作为所要求的平方根求最高位上的数,即所要求的平方根最高位X是2。
第三步:从第一段的数减去最高位上数的平方,在它们的差的右边写上第二段数组成第一个余数。
例:第一段数里的数是5.第二步计算出最高数是2
5减去2的平方=1
将1与第二段数(52)组成一个第一个余数:152
第四步:把第二步求得的最高位数(2)乘以20去试除第一个余数(152),取所得结果的整数部分作为第一个试商。
例: 152除以(2乘20)=3.8
第一个试商就是3
第五步:第二步求得的的最高位数(2)乘以20再加上第一个试商(3)再乘以第一个试商(3)。
(2*20+3)*3
如果:(2*20+3)*3小于等于152,则3就是平方根的第二位数.
如果:(2*20+3)*3大于152,将第一个试商3减1,即用2再计算。
由于:(2*20+3)*3小于152所以,3就是第平方根的第二位数。
第六步:用同样的方法,继续求平方根的其他各位上的数。用上一个余数减去上法中所求的积(即152-129=23),与第三段数组成新的余数(即2325)。这时再求试商,要用前面所得到的平方根的前两位数(即23)乘以20去试除新的余数(2325),所得的最大整数为新的试商。(2325/(23×20)的整数部分为5。)
7.对新试商的检验如前法。(右例中最后的余数为0,刚好开尽,则235为所求的平方根。)
1.从个位起向左每隔两位为一节,若带有小数从小数点起向右每隔两位一节,用“,”号将各节分开;



